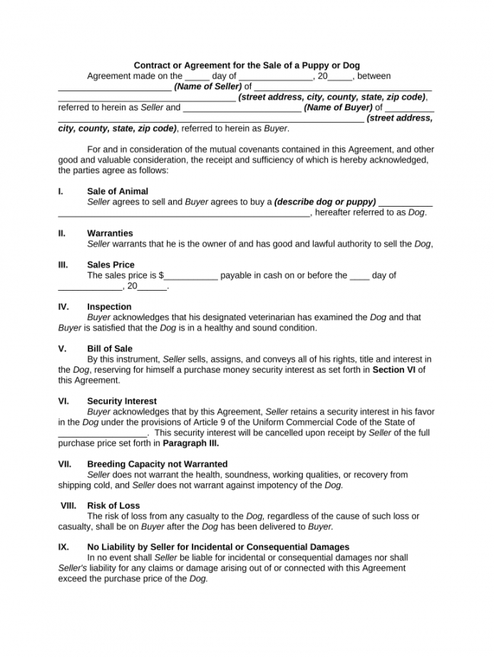
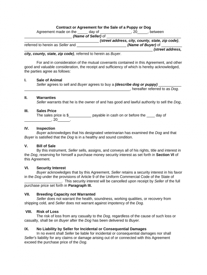
Dog deposit template, Lanlord or renter Law is not among my general areas of practice, but like each lawyer, I have friends who often ask my advice about legal problems with which they’re confronted. Recently, a friend asked for my help in corresponding with her former landlord seeing charges taken out of her rental safety deposit she felt were unwarranted.
As landlord/tenant issues are among the most common legal questions I get from friends, I’d like to discuss rights and responsibilities regarding security deposits in this informative article. At the end I shall incorporate a sample letter you can send to your landlord for return of your deposit. Please note all information in this post is unique to California law. The laws of your state or jurisdiction may differ. Many nations provide tenant’s handbooks that would include significant laws, or you need to contact an attorney licensed in your jurisdiction for aid.
A landlord has 28 days to enroll a deposit with a custodial or insurance type strategy. Info concerning the registration of this deposit has to be supplied to the renter. Under the Housing Act there is a prescribed format for information to be supplied. The landlord could be taken to court by the tenant in which the information hasn’t been provided in the correct format. Tenants have the right to return six years before taking action against the landlord.

Each time a property is renewed that the insurance on the deposit must also be revived for example when the landlord has a six monthly Assured Shorthold Tenancy and writes a new tenancy agreement at the end of the six months afterward the deposit must also be renewed. To save on expenses many landlords difficulty a tenancy for a fixed term period with a clause stating the tenancy becomes a monthly contractual lien at the conclusion of their fixed term. By having one tenancy for the length of time a tenant is at the property the landlord need only pay one fee to defend the deposit.









